Index

FINANCIAL INNOVATION, FINANCIAL PATENTS AND BUSINESS PERFORMANCE: AN EMPIRICAL STUDY ON THE BANKING INDUSTRY IN TAIWAN

Ting-Kun Liu

Department of Finance, Chaoyang University of Technology, Wufeng District, Taichung, 41349, Taiwan.

ABSTRACT

There have been a lot of discussions on financial patents abroad, while the number of domestic fintech patent applications is still small. In view of the past research on financial innovation and financial patents on company performance, the results are inconsistent. Therefore, in this study, a panel data model of the impact of financial innovation and financial patents on business performance in Taiwan's banking industry from 2005 to 2020 is constructed, and the performance determinants of financial innovation and financial patents are further explored. This study also uses the data envelopment analysis (DEA) to distinguish between those who have invested in financial patents and those who have not and compares the difference between their efficiency. Finally, the sample is divided into public and private banks, and financial holding and non-financial holding banks to further examine the differences in the influencing factors of the sub-samples.    The results show that non-financial holding banks continue to improve their technical efficiency to keep up with the fierce competition in the banking industry.

Keywords:Banking, Business performance, Efficiency, Financial patents, Monetary policy, Panel data model Productivity.

ARTICLE HISTORY: Received: 22 July 2022, Revised: 15 September 2022, Accepted: 30 September 2022, Published: 17 October 2022

JEL Classification:G21; O10.

Contribution/Originality: This study is one of very few which have investigated this issue in newly industrialized economies (NIEs). The results based on Taiwan’s experience could serve as a valuable reference for other developing countries.

1. INTRODUCTION

With the development of the internet, financial technology has gradually replaced the traditional financial service model. A variety of innovative financial activities appeared that are different from the previous service methods, and in response to the Covid-19 pandemic, has been followed by the rapid development of financial technology and digitization. Guo, Jian, Zhuang, and Wu (2019) stated that financial technology innovation and application has a great correlation with various technical fields. In addition to maintaining the existing revenue scale, various financial institutions have transferred resources to the network, actively changed their business models, and found that technology has penetrated the financial industry in mobile payments, cloud platforms, and artificial intelligence.

In the past few years of financial technology development, the digital transformation of the financial industry has been in a leading position among the major industries in China, but because of the impact of the recent pandemic, domestic bankers have shouldered the responsibility of assisting the government in bailing out enterprises. Also, due to the excessive supply of manpower, many people were forced to take time off work to reduce consumption. As a result, the growth momentum of operational profits has reduced, but the pandemic has driven the demand for zero-contact business opportunities, which has helped banks to obtain further development opportunities for digital financial services. Wu and Wang (2021) pointed out that the Covid-19 pandemic has given a significant boost to the promotion of digital services, and customers who had not used digital tools previously will now use these products or services, which has also accelerated the digitization that financial institutions have been implementing. In addition, according to the 2021 Taiwan banking report, in 2020, the digital accounts of domestic banks grew by more than 90%, and the number of mobile payments will more than double every year, showing increasing willingness among the public to accept digital financial services.

Kim and Lee (2007) take patents as technological innovation and set up a patent growth rate group in 27 developing countries to study whether financial development has a positive impact on the speed of technological innovation. Research and analysis show that financial development, by promoting technological change, is the driving force for economic growth, further supports the assumption of financial-led growth, and has an impact on economic growth. Kendall, Norman, Hatfield, and Cardinal (2010) discussed the relationship between the research and development (R&D) expenditure and innovation activities of enterprises. The return on expenditure decreases, and the increase in the number of patents is positively related to the company's performance, that is, innovation activities are beneficial to the company's profitability. Chang, Wang, Hung, and Sun (2015) explored the relationship between R&D, patent placement, and financial performance of companies listed on the Taiwan Stock Exchange (TWSE). Patents increase a company's profitable opportunities to develop new and innovative products or improve production, so patents may have a positive impact on a company's long-term financial performance which is immediately reflected in its market value. Muthinja and Chimwemwe (2018) explored the link between financial innovation and corporate financial performance. Their research results show that financial innovation has a significant contribution to bank financial performance, and firm-specific factors have a greater impact on firms' current financial performance than industry-specific factors. Kapidani and Luci (2019) analyzed data from 15 developing countries, examining the relationship between financial development indicators and innovation, and found that increased credit levels in the banking sector have a positive impact on the number of patent applications. Other financial credit mobilization by intermediaries, such as the stock market or non-banking institutions, has shown inefficiencies in driving innovation, leading to the opposite effect on the number of patent filings.

According to Lin (2020), Taiwanese financial companies should be more committed to the research and development of financial technology, including the number of employees working on financial product development and financial technology. From 2017 to 2019, the amount invested by domestic financial institutions in the development of financial technology has increased significantly. However, compared with less than 5% of the financial industry's annual profit performance, which often exceeds 500 billion yuan, it shows that Taiwan's domestic financial industry has insufficient funds to invest in fintech, and there is room for substantial improvement. If the exclusive nature of the patent is protected by the financial technology used, the enterprise is more likely to consolidate the competitive advantage generated by the protected technology through the acquisition of patent rights and can bring more benefits to the company.

This study explores the impact of financial technology on the operating performance of the banking industry from the perspective of the degree of financial innovation and the number of financial patent applications. In view of the inconsistent and rare results of past studies on financial innovation and financial patents on corporate performance, this study will improve on the immature development of fintech patents and the length of time studied in the past literature. Therefore, a panel data model of the impact of financial innovation and financial patents on business performance in Taiwan's banking industry from 2005 to 2020 will be constructed, and the performance determinants of financial innovation and financial patents will be further explored. Secondly, this study also uses the data envelopment analysis (DEA) and the Malmquist productivity index (MPI) to distinguish between manufacturers who invest in financial patents and those who do not and compare the difference between efficiency and productivity.1 Finally, the sample is divided into public equities and private banks, and financial holding and non-financial holding banks, to further examine the differences in influencing factors of the sub-samples in each category. It is expected that the empirical results of this study will provide a reference for follow-up research and recommendations for government policy formulation, corporate decision-making, and investment strategies for the public.

2. RESEARCH METHODS

2.1. Research Sample Selection and Data Sources

This study analyzed the financial reports and patent numbers of Taiwan's domestic banks and selected 28 banks listed in the Taiwan Economic Journal (TEJ), with a total of 64 seasons from the first quarter of 2005 to the fourth quarter of 2020. The source of patent data was from the Republic of China’s Patent Information Retrieval System, which is a full-text database of domestic patents established by the Intellectual Property Office of the Ministry of Economic Affairs in April 1992. In addition to paper and electronic distribution, this database enables all sectors to quickly search through the internet for full-text data and image files of patented technologies, inquire about the status of application cases and changes of rights, and provide real-time information and various retrieval systems. The financial report data used in this research comes from the Taiwan Economic Journal database, which contains complete financial and securities market information for various industries in Asia. A total of 28 domestic banks were selected as the sample for this study and include Hua Nan Commercial Bank, Taipei Fubon Commercial Bank, and Cathay United Bank. Since there is no data for foreign banks in the TEJ database, they are not included in this study.

2.2. Investigate Variable Definitions

2.2.1. Panel Data Model Variable Definition

This study refers to the literature of Guo, Yu, Wen, and Wu (2006); Liu (2017); Chen (2020) and others. The operating performance variables are stock price (Price), return on total asset growth (ROA), return on shareholders' equity (ROE), and the variables listed below are selected as the measurement variables.

A. Dependent Variable

(1) Stock Price (Price)

This article takes the company's stock price as the explanatory variable because the profit margin and market value ratio cannot fully reflect the impact of intangible assets on a company. The price of a company's stock can quickly reflect the impact of intangible assets on the company without being affected by the relationship between time differences. Because the company's stock price is susceptible to events that change rapidly, the stock price can be regarded as an indicator of the company's performance.

(2) Return on Total Assets (ROA)

That is [full year after tax net profit + annual interest * (1 - tax rate)]/average assets at the beginning and end of the period. The return on assets measures the operating efficiency of the enterprise's use of assets, and the higher the return on assets, the higher the profit brought back by the overall assets.

(3) Return on Shareholders' Equity (ROE)

This is calculated as the annual after-tax net profit/average shareholders' equity at the beginning and end of the period. The return on shareholders' equity measures the efficiency of the company's profitability in creating profits for the overall shareholders' funds, and the higher the return on shareholders' equity, the higher the profits earned by the company for its shareholders.

B. Independent Variable

(1) Number of Patents (PA1)

This article explores whether the number of financial patents has an impact on the performance of a company based on the number of patents per year. Since 2005, Taiwan has successively applied for financial patents, and after 2015, financial patents have begun to mushroom, and the number of patents of a company can also indicate the value of a company. Many investors will also use this as a criterion for analysis.

(2) Patented Dummy Variable (PA2)

This indicates whether a company has a patent for the year, with a value of 1 if there is a patent and 0 if not.

(3) Operating Expenses (OE)

This is a continuous, expendable expense for an enterprise in the process of operation, and it must be spent in order to generate revenue. Operating expenses include salaries, insurance premiums, and utilities.

(4) Market Share (MR)

This study uses the agent variable of the market competitiveness of the market share of domestic banks' operating income as a manifestation of the exclusive ability in the market.

(5) Capital Intensity (KI)

The staffing rate per person is a company's fixed assets/the total number of employees. Deng and Fan (2012) indicated that capital intensity is directly proportional to R&D investment; the higher the capital intensity, the more the company invests in R&D, so it is conducive to the improvement of the company.

(6) Company Size (EN)

The larger the size of a company, the more employees it has and the more capital it may have, so it has the advantage of being able to invest more manpower and money in innovative activities. The size of a company in this study is measured by the number of employees.

(7) Year of Establishment (AGE)

From many points of view, the older a company is, the more experience it has. If a company can survive in the industry, it must be strong, but in the process of growth, a company must also continue to evolve and innovate so that it can continue to survive in the industry. This study explores whether the age of a company affects its performance.

(8) Foreign Ownership (FI)

The size of Taiwan's stock market is small, with one-quarter to one-third of the funds owned by foreign capital, and their behavior is enough to affect stock prices. Therefore, it is possible to analyze the impact of changes in the number of foreign shares on a company's performance.

2.2.2 Input and Output Variable Definition of Data Envelopment Analysis (DEA)

In this study, DEA was used to calculate the efficiency value of each bank. Among them, the inputs and outputs are based on Wang, Peng, and Chen (2007). Several scholars and research institutes in the past, e.g., He, Zhan, and Qiu (2008); Yang and Huang (2009); Yu, Geng, and Lai (2011); Yan (2013) and Lin (2014), used specific variables as the basis for selecting inputs and outputs. Those used for inputs include total assets, operating expenses, deposits, and the number of employees; and outputs include interest income and fee income.

A. Input Variables

(1) Total Assets

These include cash and deposits, investment, lending, and discounting of bonds with sale return notes (to be reduced: allowance of bad debts), acceptance notes receivable, interest and income receivable, fixed assets (to be reduced: accumulated depreciation and accumulated losses). Also included are intangible assets, financial assets for reserve sale, financial assets included in the profit or loss of fair value changes, financial assets held to maturity, equity investments in the equity method, and other property (in NT$).

(2) Operating Expenses

These include interest expenses (interest on deposits, interest on borrowings, other interest, interest on liabilities of bonds with buy-back notes), losses on buying and selling bills, losses on the purchase and sale of securities, fees and commission expenses, deposits, operations, general and administrative expenses, losses on conversion, miscellaneous expenses, fees for loans, other fees for doubtful debts, losses on financial assets and liabilities with fair value changes included in gains and losses, realized losses on financial assets for sale, and realized losses on financial assets held to maturity.

(3) Deposits

Includes savings deposits, time deposits, demand deposits, check deposits, remittances, and foreign currency deposits.

(4) Number of Employees

The total number of employees in each company.

B. Output Variables

(1) Interest Income

This includes interest on loans and discounts, interbank interest on deposits and offers, interest on bonds, other interest income, and interest income on investment in bonds with repurchase notes.

(2) Fee Income

Handling fees such as bank sales of funds or leasing of safe deposit boxes or guarantees.

2.3. Description of Research Methods

2.3.1. Data Envelopment Analysis (DEA)

DEA is an efficiency measurement method that envelops the observed values in a front-end manner. With the help of mathematical programming skills, the efficiency is evaluated by using post-event data (there is no need to set weights in advance). It can handle a variety of input and output items and provides the contribution of each input and output item to the relative efficiency value, which not only makes up for the lack of traditional efficiency measurement methods, but also expands the role of mathematical programming from the original planning role to the control evaluation role. It therefore becomes a diagnostic tool for enterprises (Banker, Charnes, & Cooper, 1984) as it applies fairness and objectivity in the measurement of efficiency.

Efficiency values were calculated using DEA in this study. The theory that Farrell (1957) uses is an unscheduled production function to calculate the efficiency frontier. This efficiency frontier is the input and output value of all decision-making units (DMUs). If the DMU falls on the efficiency frontier, then the spatial relationship between mathematics and mathematical methods will find the boundaries of all possible optimal points. The DEA sets its input and output combination to be the most efficient, with relative efficiency values ranging from 0 to 1. However, DEA includes CCR (Charnes, Cooper, & Rhodes, 1978) and BCC (Banker et al., 1984) models. These two models can be used to determine efficiency improvement information, such as scale compensation. The CCR model was first proposed by Charnes et al. (1978). Afterwards, Banker et al. (1984) removed the restriction of fixed returns to scale in the CCR model and proposed the BCC model. These two models are recognized by the academic community as the most influential in the field of DEA.

2.3.2. Panel Data Analysis

Panel data includes two types of data (cross-sectional and time series), so it not only has the dynamic nature of time series, but also considers the cross-sectional data that can express different samples. Panel data has two different models, the first is fixed effects model, which is applicable when coexisting cross-sectional and time series samples have different intercepts but the slopes remain the same. The second is the random effects model. In both cross-sectional and time series samples, the intercept is random, so this model assumes that the error term is a random coefficient.

2.3.3. Empirical Model of Panel Data

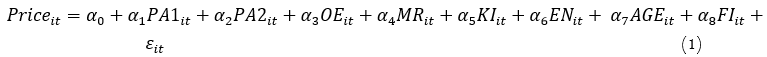
Equation 1:

Equation 2:

Equation 3:

Equations 1–3 represent the panel data model of Price, ROA and ROE, respectively. The dependent variable includes stock of price (Price), total return on assets (ROA), and return on equity (ROE). In terms of independent variables, it includes the number of patents (PA1), a patented dummy variable (PA2), operating expenses (OE), market share (MR), capital intensity (KI), company size (EN), year of establishment (AGE), and foreign ownership (FI).

3. EMPIRICAL RESULTS AND ANALYSIS

3.1. Statistics of Variables

3.1.1. Statistics of DEA Variables

Table 1 is the descriptive DEA statistical analysis of the sample companies. It can be observed that the average number of employees across all companies in the input item is 4,942, the minimum number of employees is 268, and the maximum is 22,921. This shows significant differences between the largest and smallest banks. The remaining variables are the average operating expenses of NT$ 9.69 billion, the average total assets of NT$ 1.15 billion, the average deposit of NT$ 27.47 billion, and the average interest income of output items is NT$ 19.71 billion. The minimum value is NT$ 0.20 billion yuan, with a maximum value of NT$ 220.3 billion. This shows that there is a significant gap in business performance among different banks.

Table 1. DEA descriptive statistical analysis from full sample.
Items Variable (units)
Average
Standard Deviation
Minimum
Maximum
Input
Items
Company size (no. of people)
4,942.152
4,229.758
268.000
22,921.000
Operating expenses (NT$ 0.1 billion)
96.968
114.619
2.900
890.500
Total assets
(NT$ 0.1 billion)
11.516
9.883
0.400
45.100
Deposits
(NT$ 0.1 billion)
274.766
451.226
0.001
2,463.000
Output
Items
Interest income
(NT$ 0.1 billion)
197.155
258.114
2.027
2,203.000
Fee income
(NT$ 0.1 billion)
29.399
42.469
-184.200
272.100

Table 2 is the descriptive statistical analysis of the panel data of the full sample. During the period from the first quarter of 2005 to the fourth quarter of 2020, the sample size of each variable is 1,792. The highest share price of NT$ 78.9 is held by Cathay United Bank, and the average share price of the other samples is NT$ 14.937. The average capital intensity value is NT$ 0.077. The reason for such a low value is that the banking industry is a labor-intensive industry, mainly relying on a large amount of labor, and is less dependent on technology and equipment. From the statistical analysis, it can be found that due to the characteristics of the industry, the number of employees is large, and the average company size is 4942.152 employees per bank. O-Bank has the smallest number of employees with 268, and the largest is Shin Kong Bank with 22,921. The average number of years of establishment is 42.527 years, and the average number of foreign shares is 20.823%.

Table 2. Panel data descriptive statistical analysis from full sample.
Variable
Code
Average
Standard Deviation
Minimum
Maximum
Stock price (NT$)
Price
14.937
11.624
0.001
78.900
Rate of return on asset (%)
ROA
0.123
0.607
-5.770
4.510
Rate of return on equity (%)
ROE
1.309
7.274
-118
69.900
Number of patents
PA1
0.194
0.396
0.000
1.000
Patented dummy variables
PA2
0.75
0.433
0.000
1.000
Operating expenses (NT$ 0.1 billion)
OE
96.968
114.619
2.900
890.500
Market share (%)
MR
0.036
0.034
0.002
0.169
Capital intensity (%)
KI
0.077
1.270
0.001
38.043
Company size (person)
EN
4,942.152
4,119.758
268.000
22,921
Years of establishment (year)
AGE
42.527
35.332
0.000
121.000
Foreign shareholding (%)
FI
20.823
18.566
0.000
83.100

3.1.2. Empirical Results of the Data Envelope Analysis (DEA)

Table 3 is the efficiency estimate of the full bank sample. The results show that only three of the 28 banks have a total technical efficiency, pure technical efficiency, and scale efficiency of 1, respectively. Shin Kong Commercial Bank, China Trust Commercial Bank and Taiwan Business Bank have fixed scale remunerations, indicating that the banks have reached optimal manufacturing efficiency (for the operational efficiency of the whole sample, please refer to Table 3).

Tables 4 and 5 contain the efficiency estimates for the patented and non-patented banks. The results in Table 4 show that among the 22 banks, the three banks with the highest efficiency value are Bank Sinopac, Taiwan Cooperative, and Taichung Bank. Among the six banks in Table 5, four have the highest efficiency value, namely Chang Hwa, JihSun International, Kaohsiung and Standard Chartered. Comparing the efficiency value of the patent banks with investment and without investment, it was found that the average efficiency value of the non-patent banks is 0.979, which is better than that of the patent banks. It shows that in the patent activities and patent innovation in the banking industry, manufacturers have not been able to convert this investment into improved efficiency.

Table 3. Estimated results of DEA's efficiency from full sample.
Bank
Total technical efficiency
Purely technical efficiency
Efficiency of scale
Returns to scale
Hua Nan
0.810
1.000
0.810
IRS
Taipei Fubon
0.763
1.000
0.763
IRS
Cathay United
0.802
0.971
0.826
IRS
China Development 
0.835
1.000
0.835
IRS
E.Sun
0.895
0.994
0.900
IRS
Yuanta
0.886
0.977
0.908
IRS
Mega International
0.921
0.986
0.934
IRS
Taishin
0.949
1.000
0.949
IRS
Shin Kong
1.000
1.000
1.000
CRS
IBF (International Bills Finance)
0.964
1.000
0.964
IRS
Bank Sinopac
0.989
0.997
0.992
IRS
China Trust
1.000
1.000
1.000
CRS
First
0.977
0.997
0.980
IRS
JihSun International
0.935
1.000
0.935
IRS
Taiwan Cooperative
0.987
0.997
0.990
IRS
Taiwan Business
1.000
1.000
1.000
CRS
Chang Hwa
0.710
0.999
0.710
IRS
King's Town
0.760
0.970
0.784
IRS
Taichung
0.803
0.984
0.816
IRS
Kaohsiung
0.826
0.987
0.837
IRS
Union
0.895
0.996
0.899
IRS
Far East
0.897
0.989
0.907
IRS
EnTie
0.926
0.977
0.948
IRS
O-Bank
0.936
0.984
0.951
IRS
Taipei Star
0.811
1.000
0.811
IRS
The Shanghai
0.819
1.000
0.819
IRS
Standard Chartered
0.823
0.989
0.832
IRS
KGI Bank
0.814
0.981
0.830
IRS
Average
0.883
0.992
0.890
---------
Note: CRS, IRS, and DRS are constant returns to scale, increasing returns to scale, and decreasing returns to scale, respectively.

Table 4. Estimated results of DEA's efficiency from patented banks.
Bank
Total technical efficiency
Purely technical efficiency
Efficiency of scale
Returns to scale
Hua Nan
0.810
1.000
0.810
IRS
Taipei Fubon
0.763
1.000
0.763
IRS
Cathay United
0.802
0.971
0.826
IRS
China Development 
0.835
1.000
0.835
IRS
E.Sun
0.895
0.994
0.900
IRS
Yuanta
0.886
0.977
0.908
IRS
Mega International
0.921
0.986
0.934
IRS
Taishin
0.949
1.000
0.949
IRS
Shin Kong
1.000
1.000
1.000
CRS
Bank Sinopac
0.964
1.000
0.964
IRS
China Trust
0.989
0.997
0.992
IRS
First
1.000
1.000
1.000
CRS
Taiwan Cooperative
0.977
0.997
0.980
IRS
Taiwan Business
0.935
1.000
0.935
IRS
King's Town
0.987
0.997
0.990
IRS
Taichung
1.000
1.000
1.000
CRS
Union
0.710
0.999
0.710
IRS
Far East
0.760
0.971
0.783
IRS
EnTie
0.803
0.985
0.815
IRS
O-Bank
0.826
0.988
0.836
IRS
The Shanghai
0.895
0.996
0.899
IRS
KGI
0.897
0.990
0.907
IRS
Average
0.891
0.993
0.897
-----------
Note: CRS, IRS, and DRS are constant returns to scale, increasing returns to scale, and decreasing returns to scale, respectively.

Table 5. Estimated results of DEA's efficiency from non-patented banks.
Bank
Total technical efficiency
Purely technical efficiency
Efficiency of scale
Returns to scale
Chang Hwa
1.000
1.000
1.000
CRS
IBF
0.974
1.000
0.974
IRS
JihSun International
1.000
1.000
1.000
CRS
Kaohsiung
1.000
1.000
1.000
CRS
Taipei Star
0.902
1.000
0.902
IRS
Standard Chartered
1.000
1.000
1.000
CRS
Average
0.979
1.000
0.979
---------
Note: CRS, IRS, and DRS are constant returns to scale, increasing returns to scale, and decreasing returns to scale, respectively.

Tables 6 and 7 contain the estimated efficiencies of financially controlled banks and non-financially controlled banks.

The results in Table 6 show that among the 15 banks, three have the highest efficiency value, namely Shin Kong Bank, China Trust Bank and Taiwan Cooperative Bank. Among the 13 banks in Table 7, five have the highest efficiency value, namely O-Bank, Taipei Star, The Shanghai, Standard Chartered, and KGI Bank. Comparing the efficiency values of financial holding banks and non-financial holding banks, it was found that the efficiency value of non-financial holding banks is 0.949, which is slightly better than that of financial holding banks. According to statistics, in the banking industry, non-financial holding banks and envoys continue to improve their technical efficiency to remain competitive.

Table 6. Estimated results of DEA's efficiency from financial holding banks.
Bank
Total technical efficiency
Purely technical efficiency
Efficiency of scale
Returns to scale
Hua Nan
0.810
1.000
0.810
IRS
Taipei Fubon
0.766
1.000
0.766
IRS
Cathay United
0.809
0.971
0.833
IRS
China Development 
0.840
1.000
0.840
IRS
E.Sun
0.896
0.994
0.901
IRS
Yuanta
0.893
0.977
0.914
IRS
Mega International
0.937
0.986
0.950
IRS
Taishin
0.956
1.000
0.956
IRS
Shin Kong
1.000
1.000
1.000
CRS
IBF
0.966
1.000
0.966
IRS
Bank Sinopac
0.989
0.997
0.992
IRS
China Trust
1.000
1.000
1.000
CRS
First
0.978
0.997
0.981
IRS
JihSun International
0.943
1.000
0.943
IRS
Taiwan Cooperative
1.000
1.000
1.000
CRS
Average
0.919
0.995
0.924
---------
Note: CRS, IRS, and DRS are constant returns to scale, increasing returns to scale, and decreasing returns to scale, respectively.

Table 7. Estimated results of DEA's efficiency from non-financial holding banks.

Bank

Total technical efficiency

Purely technical efficiency

Efficiency of scale

Returns to scale

Taiwan Business

0.956

1.000

0.956

IRS

Chang Hwa

0.956

1.000

0.956

IRS

King's Town

0.836

0.989

0.845

IRS

Taichung

0.836

0.989

0.845

IRS

Kaohsiung

0.951

1.000

0.951

IRS

Union

0.951

1.000

0.951

IRS

Far East

0.928

0.999

0.929

IRS

EnTie

0.928

0.999

0.929

IRS

O-Bank

1.000

1.000

1.000

CRS

Taipei Star

1.000

1.000

1.000

CRS

The Shanghai

1.000

1.000

1.000

CRS

Standard Chartered

1.000

1.000

1.000

CRS

KGI

1.000

1.000

1.000

CRS

Average

0.949

0.998

0.951

---------

Note: CRS, IRS, and DRS are constant returns to scale, increasing returns to scale, and decreasing returns to scale, respectively.

3.2. Empirical Results of the Panel Data Model

This section explores whether financial patents have an impact on business performance using a sample of 28 banks in Taiwan. In this paper, stock price, ROA and ROE are used as the dependent variables. In terms of independent variables, the number of patents, dummy variables of patents, operating expenses, market share, capital intensity, company size, years of establishment and foreign shareholding are included. In this study, tracking data (panel data) was used. The F test was first performed on the model, and then the Hausman test was used to confirm the use of a fixed effects or a random effects model. Since the Hausman test results all reached a significant level, the models used in this study are all fixed effects models.

3.2.1. Panel Data Model – Empirical Results of Stock Prices

It can be seen from Table 8 that all the variables selected in this study have a positive impact, among which the number of patents, operating expenses, market share, company size, years of establishment and foreign shareholding all have significant and positive effects on the operating performance stock price model. The number of patents and share price reached a significant level of 1%. Overall, a bank that invests in patents assures investors of the bank's company value, which is reflected in the company's stock price, indicating that the bank's investment in patent layout can effectively improve business performance. The results of this study are consistent with the findings of Hong (2012); Hong (2014) and Liu (2017). In addition, the capital intensity has not reached a significant level, so we will further explore the reasons for this. The key lies in the particularity of the banking industry itself. Compared with other industries, it pays more attention to the debt ratio of companies. In addition, the financial industry is a labor-intensive service industry. Therefore, it cannot accurately reflect on business performance. The results of this study are consistent with those of Deng and Fan (2012). See Table 8 for the empirical results of panel data affecting banking stock prices.

Table 8. Panel data model with empirical results of stock prices.
Variable
Code
Coefficient
P-value
Number of patents
PA1
3.630
0.000***
Patented dummy variables
PA2
-
-
Operating expenses
OE
-0.005
0.021**
Market share
MR
93.233
0.000***
Capital intensity
KI
-0.143
0.180
Company size
EN
0.000
0.034**
Years of establishment
AGE
-0.166
0.000***
Foreign ownership
FI
0.233
0.000***
Constant term
CON
12.219
0.000***
Note: R-squared = 0.2206
***, ** and * represent statistically significant levels of 1%, 5% and 10%, respectively.

3.2.2. Panel Data Model – Empirical Results of ROA

It can be seen from Table 9 that all the variables selected in this study have a positive impact. Among them, operating expenses, company size, years of establishment and foreign shareholding all have a significant positive impact on the ROA model of operating performance. According to the research results in Table 9, in terms of business performance, the number of patents and ROA have a positive impact but do not reach a certain significance level, which means that the number of patents has no effect on improving ROA. Therefore, the results of this research are inconsistent with Chen (2020). The company scale shows a significance level of 10% for ROA, indicating that the larger the company scale, the better the operating performance. In addition, the years of establishment shows a significant level of 1% to ROA, indicating that the longer a bank has been established, the better the company's operating performance.

Table 9. Panel data model with empirical ROA results.
Variable
Code
Coefficient
P-value
Number of patents
PA1
0.018
0.677
Patented dummy variables
PA2
-
-
Operating expenses
OE
-0.000
0.064*
Market share
MR
0.520
0.759
Capital intensity
KI
-0.001
0.947
Company size
EN
-0.000
0.073*
Years of establishment
AGE
0.017
0.000***
Foreign ownership
FI
-0.004
0.003***
Constant term
CON
-0.377
0.013**
Note: R-squared = 0.0184.
***, ** and * represent statistically significant levels of 1%, 5% and 10%, respectively.

3.2.3. Panel Data Model – Empirical Results of ROE

The empirical results of ROE can be seen in Table 10. All variables selected in this study, such as operating expenses, years of establishment and foreign shareholding, have a significant positive impact on the ROE model of operating performance. According to the research results in Table 10, in terms of business performance, the number of patents and ROE have a positive impact but do not reach a certain significance level, indicating that the number of patents does not contribute to the improvement of ROE. The years of establishment shows a significance level of 1% for ROE, indicating that the longer a bank has been in operation, the more likely it is to have a good business management model, its decision-making can keep pace with the times, and it has more flexible decision-making so it can further improve the company's operating performance. Foreign shareholding has a significance level of 5% on ROE, indicating that the higher the foreign shareholding ratio, the more dominant the shareholders are and the more monitoring rights they have, resulting in the improvement of the company's operating performance.

Table 10. Panel data model empirical results of ROE.

Variable

Code

Coefficient

P-value

Number of patents

PA1

-0.541

0.310

Patented dummy variables

PA2

-

-

Operating expenses

OE

-0.006

0.016**

Market share

MR

17.345

0.405

Capital intensity

KI

0.085

0.533

Company size

EN

-0.000

0.545

Years of establishment

AGE

0.273

0.000***

Foreign ownership

FI

-0.034

0.034**

Constant term

CON

-9.016

0.000***

Note: R-squared = 0.0239.
***, ** and * represent statistically significant levels of 1%, 5% and 10%, respectively.

4. CONCLUSIONS AND RECOMMENDATIONS

4.1. Conclusion

With the trend in the development of the internet, a variety of innovative financial services continues to emerge in order to cope with this financial technology boom. Under the advocacy of China's competent authorities, the financial industry is aware of the importance of financial patents and intellectual property protection. In order to understand whether the implementation of financial patents can enhance the value of a company, this study takes financial patents as the starting point, conducting an empirical analysis of data related to Taiwan’s banking industry from 2005–2020. This study improves on the immaturity of financial patents in the past and the length of the periods analyzed and uses the panel data model to explore the determinants of financial innovation and financial patents on performance. In addition, the DEA is used to distinguish the differences in influencing factors of each sub-sample of each category by distinguishing whether there are financial patents invested in the sample and whether they are classified as financial holding banks.

4.1.1. Empirical Results of DEA

This study focuses on enterprises that have implemented financial innovation and financial patents. The DEA is used to classify the samples based on whether they have invested in financial patents and whether they are financially controlled banks. The company size, operating expenses, total assets, and deposits are used as input variables, and the output variables used are interest income and fee income. The results of the study show that three out of 22 banks with patents have achieved optimal efficiency and have fixed returns to scale, and four out of the six banks without patents have reached optimum efficiency. In terms of total technical efficiency, the efficiency value of unpatented banks is higher than that of patented banks. Due to the excessive concentration of patent applications in a small number of banks, although a total of 22 banks has patents, when the banking industry invests in patent activities and patent innovation, it is obvious that most of the bankers have not been able to convert this investment into efficiency improvement. Among the 15 banks, financial holding banks have the optimum efficiency, and among the 13 non-financial holding banks, five have reached optimum efficiency. From the total technical efficiency value, the non-financial holding banks perform slightly better than the financial holding banks. In the industry, non-financial holding banks continue to improve their technical efficiency in a fiercely competitive environment, which has led to their superior operating performance.

4.1.2. Empirical Results of Panel Data Model

In order to explore the determinants of financial innovation and financial patents on performance, this study uses stock price, ROA, and ROE as proxy variables for measuring business performance. The research results show that financial patents have a significant positive impact on stock prices, indicating that the more patents a bank has, the more likely it is to increase the bank’s stock price. This result is also consistent with Hong (2012); Hong (2014); and Liu (2017). Because patents represent the innovation and technological development of a company, in addition to protecting the core business of its own development, it can also give investors more confidence in the company. Regarding ROA evidence, this result is inconsistent with the research results of Chen (2020). The results of this paper show that the number of patents and ROA have a positive impact, but not at a statistically significant level. This means that as far as the data in this study is concerned, there is no sufficient evidence to support the number of patent applications that a company has applied for, which will bring about an increase in ROA for the company. This result is also consistent with the empirical research on ROE, that is, although the number of patents has a positive impact on ROE, it is not at a statistically significant level. In addition, it can be found that operating expenses, years of establishment and foreign shareholding have a positive and significant impact on stock price, ROA, and ROE, indicating that a company's operating expenses are necessary to generate revenue. Expenditure and the number of years of a company's establishment can present an image of stability to investors. Foreign shareholding also has an important impact on the stock market. Foreign investors usually hold for a long time, which means that the higher the shareholding ratio, the more stable the company is. Therefore, when the operating expenses, years of establishment and foreign shareholding are higher, the stock price, ROA and ROE can all be improved.

4.2. Suggestion

The results of this study show that financial patents and financial innovation investment are not directly and significantly related to the operating performance of banking firms. Perhaps, like R&D investment, their performance will be deferred. The data shows that the more direct and positive contribution is the stock price. Because financial patents have a significant positive impact on the stock price, it means that the more patents a bank has, the more effective the bank’s stock price can be. This result can be used by investors as a reference when investing in financial patents and making financial innovation decisions.

This research only takes the banking industry as the research object, lacking other financial industry players, and it mainly takes the development of domestic financial patents as the starting point. According to the "Analysis and Suggestions on Patent Layout of my Country's Financial Institutions" put forward by the Intellectual Property Bureau of the Ministry of Economic Affairs, the number of invention patent applications has seen a substantial growth since 2016. However, since 2012, international financial technology has begun to develop rapidly, which shows that Taiwan’s financial patents started relatively late. To compare whether the financial patent development environment can bring obvious effects to enterprises when the development environment is mature, this study only uses financial patents as a major category. If future research can subdivide the types of financial patents into new patents or invention patents, or there is more adequate patent data, researchers should be able to fully reflect the substantial effect of financial patents on corporate performance.

In addition, because domestic patent applications are concentrated in some financial institutions, it shows that Taiwan still has some distance to go to keep up with the development of foreign financial technology. Therefore, it is suggested that the government should provide enterprises with financial technology guidance to keep up with the wave of innovative technology.

Funding: This study received no specific financial support.  
Competing Interests: The author declares that there are no conflicts of interests regarding the publication of this paper.

REFERENCES

Banker, R. D., Charnes, A., & Cooper, W. W. (1984). Some models for estimating technical and scale inefficiencies in data envelopment analysis. Management Science, 30(9), 1078-1092.Available at: https://doi.org/10.1287/mnsc.30.9.1078.

Chang, M. C., Wang, Y.-H., Hung, J.-C., & Sun, C. (2015). R&D, patent arrangements, and financial performances: Evidence from Taiwan. Periodica Polytechnica Social and Management Sciences, 23(1), 25-40.Available at: https://doi.org/10.3311/ppso.7967.

Charnes, A., Cooper, W. W., & Rhodes, E. (1978). Measuring the efficiency of decision making units. European Journal of Operational Research, 2(6), 429-444.

Chen, B. Y. (2020). The impact of financial patents on the performance of domestic banks. Master’s Dissertation, National Central University.  

Deng, R. H., & Fan, J. Y. (2012). Research on market structure, manufacturer behavior and operational performance- taking China's TFT-LCD manufacturing industry as an example. Bank of Taiwan Quarterly, 63(1), 119-141.

Depren, S. K., & Depren, Ö. (2016). Measuring efficiency and total factor productivity using data envelopment analysis: An empirical study from banks of Turkey. International Journal of Economics and Financial Issues, 6(2), 711-717.

Fare, R., Grosskopf, S., Norris, M., & Zhang, Z. (1994). Productivity growth, technical progress, and efficiency change in industrialized countries. American Economic Review, 84(1), 66-83.

Farrell, M. J. (1957). The measurement of productive efficiency. Journal of the Royal Statistical Society: Series A (General), 120(3), 253-281.

Guo, Y. F., Jian, D. X., Zhuang, Z. H., & Wu, J. H. (2019). Analysis and suggestions on the layout of financial patents in China. Intellectual Property Right Journal, 244(1), 6-29.

Guo, C. R., Yu, S. H., Wen, D. H., & Wu, S. S. (2006). Bank evaluation: Integrates financial performance and financial product innovation, market competitiveness perspectives. Taiwan Journal of Management, 6(1), 35-58.

He, W. R., Zhan, Y. L., & Qiu, W. J. (2008). Discussion on the operating performance of the banking industry in non-financial control systems - evaluated by DEA and MPI models. Global Management Wants to be Economical, 4(2), 15-44.

Hong, Z. J. (2012). Research on the relationship between patent rights, business performance and enterprise value. Master’s Dissertation, National Cheng Kung University.  

Hong, L. Y. (2014). Explore the impact of total patents, number of inventors, and patent share on firm performance: Take the U.S. IC design industry as an example. Master’s Dissertation, National Taipei University.  

Jreisat, A., Al-Barghouthi, S., Qasim, A., & Nimer, K. (2017). Global financial crisis and productivity changes of banks in UAE: A DEA-MPI analysis. International Journal of Business and Society, 18(S3), 437-448.

Kapidani, M., & Luci, E. (2019). The effects on innovation from financial sector development: Evidence from developing countries. Journal of Competitiveness, 11(2), 84-94.Available at: https://doi.org/10.7441/joc.2019.02.06.

Kendall, A. W., Norman, P. M., Hatfield, D. E., & Cardinal, L. B. (2010). A longitudinal study of the impact of R&D, patents, and product innovation on firm performance. Journal of Product Innovation Management, 27(5), 725-740.Available at: https://doi.org/10.1111/j.1540-5885.2010.00747.x.

Kim, P., & Lee, K. (2007). The effects of financial sector development on innovation as an engine of sustained growth/comments and discussion. Seoul Journal of Economics, 20(1), 129-163.

Lin, Z. H. (2020). The current situation and prospect of Taiwan's fintech development. Journal of Financial Review, 33(1), 74-80.

Lin, Y. Y. (2014). Discussion on the impact of the financial turmoil on the efficiency and productivity of banks on both sides of the strait. Master’s Dissertation, Chaoyang University of Technology.  

Liu, Z. C. (2017). Financial patents and company value - take Taiwan's listed financial companies as an example. Master’s Dissertation, National Central University.  

Muthinja, M. M., & Chimwemwe, C. (2018). Financial innovations and bank performance in Kenya: Evidence from branchless banking models. South African Journal of Economic and Management Sciences, 21(1), 1-11.

Wang, K. L., Peng, Y. H., & Chen, M. Y. (2007). Evaluation of the operating performance of Taiwan financial holdings sub-bank. Journal of Science and Technology Management, 12(2), 1-27.

Wu, Y. J., & Wang, L. L. (2021). Taiwan fintech trend outlook. Master’s Dissertation, National Chengchi University.  

Yan, X. P. (2013). Efficiency and productivity of financial holding and non-financial holding banks in Taiwan- an empirical discussion before and after the financial crisis. Master’s Dissertation, Chaoyang University of Technology.  

Yang, Y.-L., & Huang, C. J. (2009). Estimating the Malmquist productivity index in the Taiwanese banking industry: A production and cost approach. Taiwan Economic Review, 37(4), 353-378.

Yu, M. Z., Geng, Y., & Lai, Y. F. (2011). Measurement of the operational efficiency of privatization of public banks. Management Science Research, 2(7), 75-96.

Views and opinions expressed in this article are the views and opinions of the author(s), Asian Economic and Financial Review shall not be responsible or answerable for any loss, damage or liability, etc., caused in relation to/arising from the use of the content.


Footnote:

1. For the DEA and MPI empirical studies, please refer to Fare, Grosskopf, Norris, and Zhang (1994); Depren and Depren (2016) and Jreisat, Al-Barghouthi, Qasim, and Nimer (2017) for further details.